Products & ReviewLife Sciences
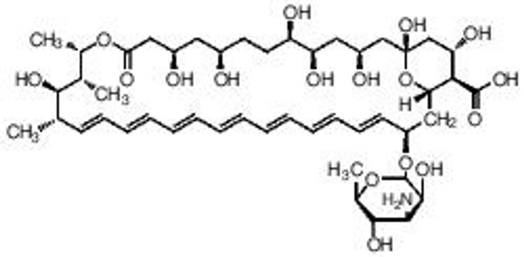
Amphotericin B solution
250 μg/mL in deionized water, 0.1 μm filtered, BioReagent, suitable for cell culture

The supplier does not provide quotations for this product through SelectScience. You can search for similar products in our Product Directory.
Amphotericin B is a polyene antifungal antibiotic that is clinically used to treat systemic fungal infections.
Chemical structure: polyene

















