Products & ReviewDrug Discovery & Development
Apyrase from potato
Recombinant, expressed in Pichia pastoris, ATPase ≥1000 units/mg protein, lyophilized powder.
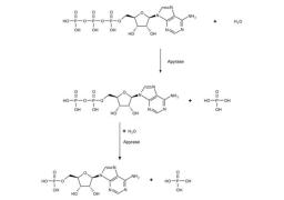
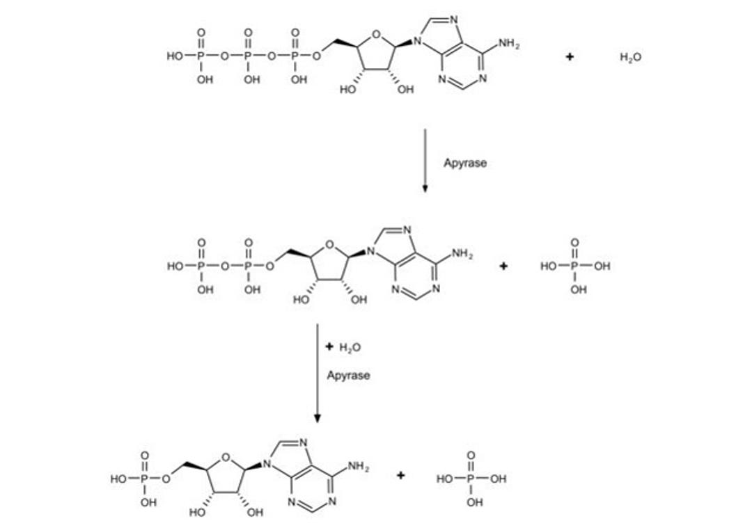
Apyrase, also known as ATP-diphosphohydrolase, is expressed in wide variety of plant and animal tissues. The commercially accessible apyrase enzyme is isolated from potato tubers.
Biochem/physiol Actions
Apyrase hydrolyses the phosphoanhydride bonds of nucleoside tri- and di-phosphates in the presence of divalent cations. It has wide substrate specificity for nucleotides. This property of the enzyme makes it suitable for different biotechnical applications, including DNA sequencing and platelet-aggregation inhibition.
















