TargetSeq One® Hyb & Wash Kit v3.0
TargetSeq One® Hyb & Wash Kit v3.0 is a fully upgraded version of the TargetSeq One® Hyb & Wash Kit. This upgrade has greatly simplified the reagent composition and operation process, reducing the operation time by more than 1 hour; meanwhile, in terms of product performance, the uniformity and capture efficiency have been significantly improved to a brand-new level. This means that the test results are accurate and reliable,…
Advantages
- Ultra-simplified reagent composition: Contains only 1 type of Hyb Buffer and 1 type of Wash Buffer; whereas other manufacturers usually require 2-3 types of Hyb Buffers and 3-5 types of Wash Buffers.
- Highly streamlined operation process: Manual operation time can be shortened to 2 hours, making work scheduling more relaxed.
- Superior data performance: Demonstrates higher uniformity and capture efficiency.
- Outstanding rapid hybridization performance: Delivers excellent rapid hybridization results for panels of different sizes; high-quality data can be obtained even with 2-hour rapid hybridization, and it also supports 30-minute rapid hybridization requirements for pathogens and other scenarios.
- Excellent compatibility: Compatible with DNA probes such as TargetSeq® DNA Probes HT.
Workflow
TargetSeq One® Hyb & Wash Kit v3.0 inherits the user-friendly single-tube workflow of the TargetSeq One® product series. For the hybridization step, simply premix the hybridization reagents and probes and then directly hybridize them with the concentrated library; for the target region capture step, only one type of Wash Buffer is required for both streptavidin magnetic bead washing and library elution, resulting in a highly streamlined process.
*Ultra-simplified kit composition: The kit contains Hyb Human Block, TargetSeq One® Hyb Buffer v3, TargetSeq One® Wash Buffer v3, Post PCR Master Mix, and Post PCR Primer; the experiment can be completed when combined with Universal Blocking Oligo, Probe, and Cap beads.
Performance
TargetSeq One® v3.0 exhibits highly uniform capture performance across different GC-content regions.
Figure 1. TargetSeq One® Hyb & Wash Kit v3.0, when combined with AIExome V5, exhibits more uniform depth performance across different GC-content regions. Compared with competitors, the TargetSeq One® v3.0 capture protocol can achieve more uniform capture performance in both low-GC and high-GC regions.
TargetSeq One® v3.0 delivers stable performance in rapid hybridization.
TargetSeq One® Hyb & Wash Kit v3.0 supports flexible rapid hybridization protocols, with hybridization time reducible to less than 2 hours and manual operation time cut down to 2 hours, which significantly shortens the overall experimental cycle.
Figure 2. Schematic diagram of time comparison between rapid hybridization and overnight hybridization.
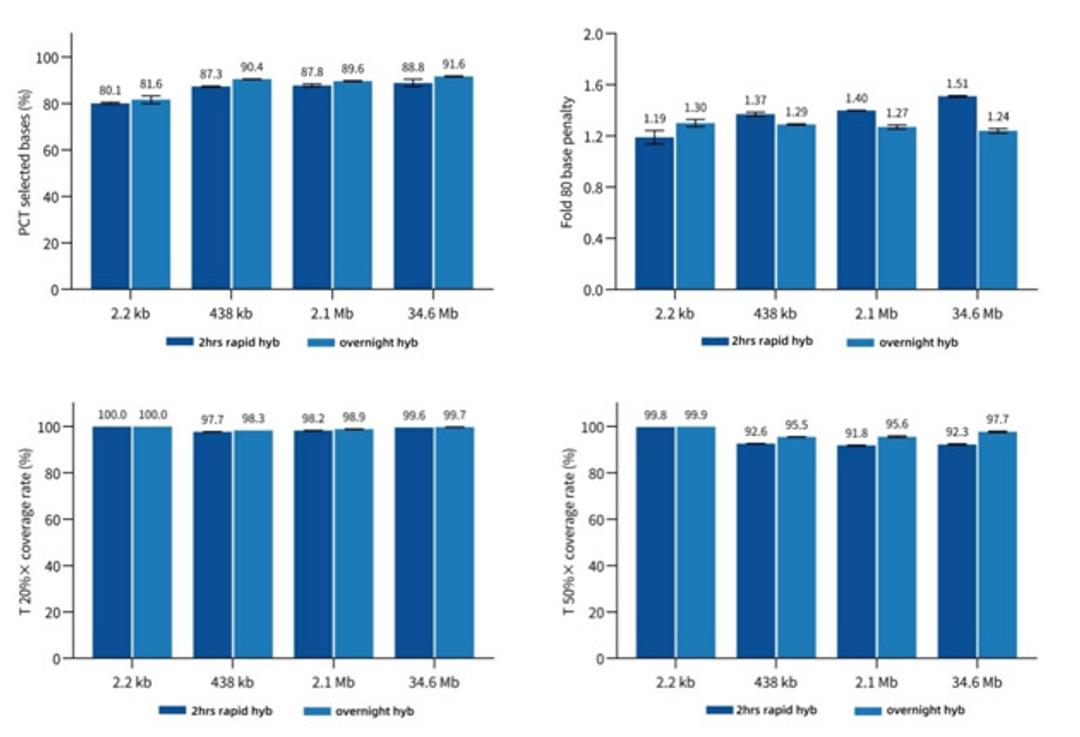
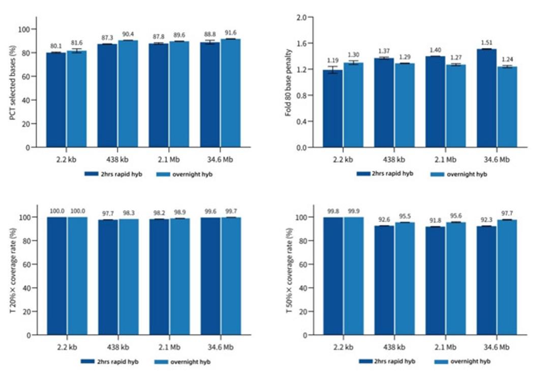
TargetSeq One® Hyb & Wash Kit v3.0 delivers excellent performance and stable performance metrics in rapid hybridization for panels of different sizes.
Figure 3. Data performance of TargetSeq One® Hyb & Wash Kit v3.0 across different hybridization durations. Capture experiments were performed using panels of 2.2 kb (MRD Panel with 32 loci), 438 kb (Solid Tumor Mid Panel), 2.1 Mb (Pan-Cancer Panel V2), and 34.6 Mb (AIExome® Human Exome Panel V5). Overnight hybridization (30μL hybridization system) and 2-hour rapid hybridization (15μL hybridization system) were conducted respectively, followed by PE150 sequencing on the NovaSeq 6000 platform.
TargetSeq One® v3.0 demonstrates outstanding performance in multiplex hybridization.
TargetSeq One® Hyb & Wash Kit v3.0, when combined with TargetSeq® Eco Universal Blocking Oligo, can block libraries of up to 6μg, while delivering excellent capture efficiency and uniformity.
Figure 4. Blocking performance of TargetSeq One® Hyb & Wash Kit v3.0 combined with TargetSeq® Eco Universal Blocking Oligo in multiplex hybridization reactions. Capture was performed using a 2.1 Mb (Pan-Cancer Panel V2) panel, with 1-Plex (750 ng)/overnight hybridization, 1-Plex (750 ng)/2-hour rapid hybridization, and 12-Plex (6μg)/2-hour rapid hybridization conducted separately, followed by PE150 sequencing on the DNBSEQ T7 platform.






















