Products & ReviewDrug discovery > Drug Manufacturing
Avanti® Polar Lipids 18:1 PI(3)P
Merck KGaA, Darmstadt, Germany850150PAvailable: ,Western Europe,Asia,Eastern Europe,South Central America,Caribbean,Australia Oceania,Middle East,Africa,Other
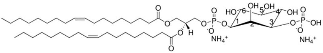
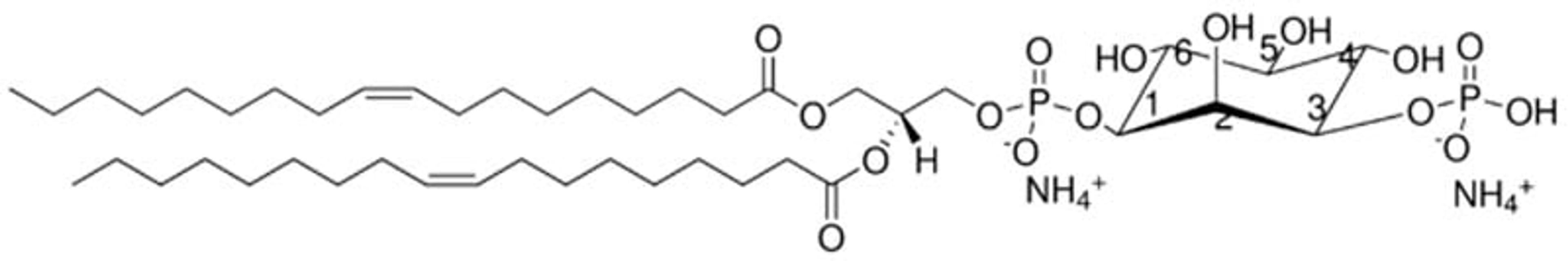
1,2-dioleoyl-sn-glycero-3-phospho-(1'-myo-inositol-3'-phosphate) (ammonium salt), powder

The supplier does not provide quotations for this product through SelectScience. You can search for similar products in our Product Directory.
Inositol phospholipid species are membrane-bound signaling molecules that have been implicated in almost all aspects of cellular physiology, including cellular growth, metabolism, proliferation, and survival.
Packaging
- 2 mL Amber Serum Vial with Stopper and Crimp Cap (850150P-100ug)
- 2 mL Amber Serum Vial with Stopper and Crimp Cap (850150P-500ug)



















