Product & ReviewsAntibodies
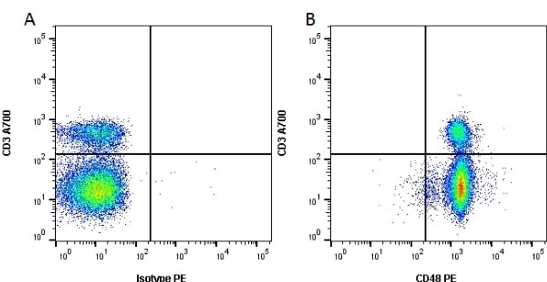
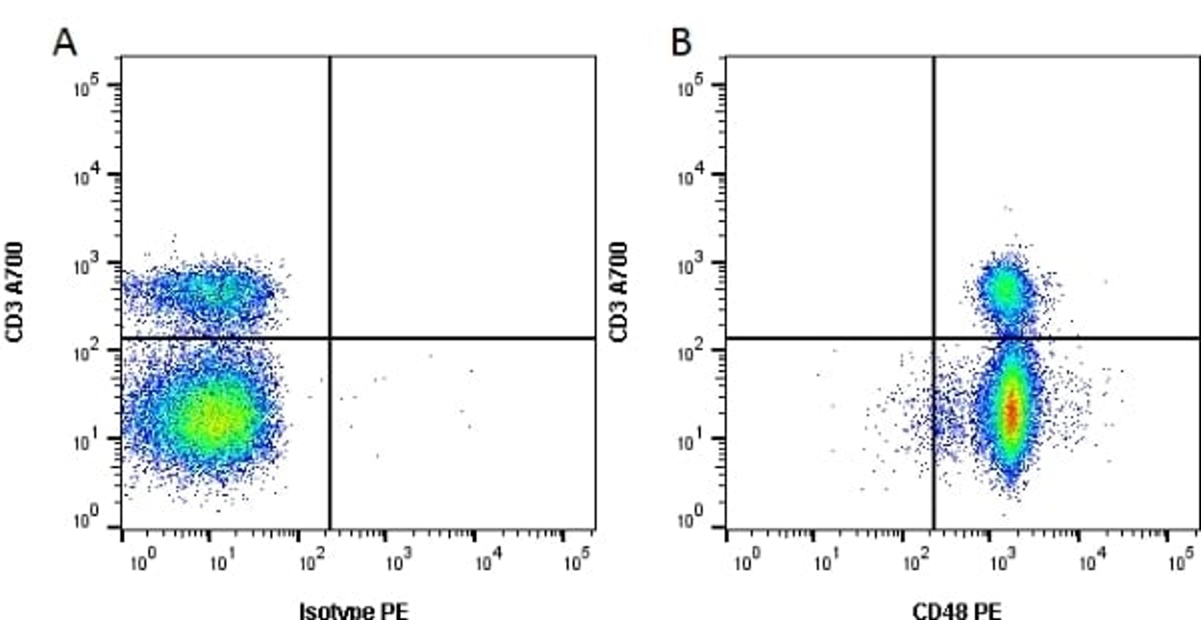
CD48
Product Details
- Cat. No.
- MCA925PE
- Type
- Primary Antibody
- Clonality
- Monoclonal
- Host
- Rat

The supplier does not provide quotations for this antibody through SelectScience. You can search for similar antibodies in our Antibody Directory.
Description
RAT ANTI MOUSE CD48:RPE
Biological Information
- Clonality: Monoclonal
- Host: Rat
- Conjugate: RPE
Handling
- Quantity: 100 Tests


